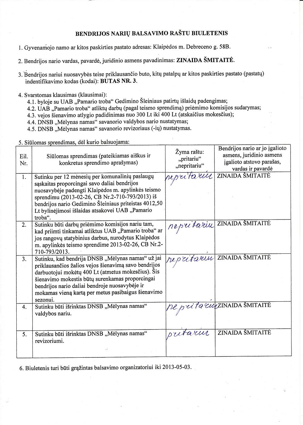
Dėl balsavimo raštu, turime apsispręsti iki gegužės mėn. 3 d., todėl laiko pagalvoti tikrai pakanka. Balsavimas nėra slaptas, todėl pateiksiu savo užpildytą (tik dar nepasirašytą) balsavimo biuletenį.
Šiek tiek vėliau ketinu pasidalinti ir savo argumentais dėl balsavimo. Tokiu būdu neprimetu savo nuomonės, ir nežadu agituoti balsuoti vienaip ar kitaip. Bet koks rezultatas bus tik į gerą. Juk visi turi savo nuomonę ir įsitikinimus. Tik vieni naudojasi liaudyje vadinama “bobų radija”, kiti -tiesioginiais informacijos šaltiniais.
Parašykite komentarą